该产品接纳抗沙结构,,,,,,,耐磨损,,,,,,,使用寿命长;;;;;;;同时,,,,,,,悬浮式设计的叶轮接纳工程塑料材质,,,,,,,性能更稳固;;;;;;;全系标配油浸式电机,,,,,,,潜水深度超 过 100 米;;;;;;;可普遍应用于墟落、学校、医院、农场、牧场 、修建、小型水厂、家用供水、水箱、浇灌、都会工厂、商业设施供水、水利系统、喷 泉等应用场景。。。。。。
◆ 温度不凌驾 40℃;;;;;;;
◆ 固体物含量 ( 按重量计 ) 不大于 0.01%;;;;;;;
◆ 酸碱 PH 值 6.5~8.5;;;;;;;
◆ 硫化氢含量不大于 1.5mg/l , 不含任何油类。。。。。。( 使用在深井中时 , 井筒应坚持笔直 , 不允许有双向弯曲。。。。。。)



B80QJD2手艺参数
序 号 | 型号 | 电压( | 功率(kw) | 口径(mm) | 外径(mm) | 流量m?/h | 1 | 1.5 | 2 | 3 | 4 | |
| 1 | B80QJD2-34/8-0.4 | 220 | 0.4 | 33 | 88 | 扬程(m) | 42 | 40 | 38 | 32 | 23 | 8 |
| 2 | B80QJD2-42/10-0.6 | 220 | 0.6 | 33 | 88 | 53 | 50 | 47 | 40 | 29 | 12 | |
| 3 | B80QJD2-50/12-0.8 | 220 | 0.8 | 33 | 88 | 63 | 60 | 56 | 48 | 34 | 14 | |
| 4 | B80QJD2-58/14-0.9 | 220 | 0.9 | 33 | 88 | 74 | 70 | 66 | 56 | 40 | 15 | |
| 5 | B80QJD2-74/18-1.1 | 220 | 1.1 | 33 | 88 | 95 | 90 | 85 | 72 | 51 | 24 | |
| 6 | B80QJD2-106/26-1.5 | 220 | 1.5 | 33 | 88 | 137 | 124 | 114 | 104 | 72 | 28 |
B80QJD3手艺参数
序 号 | 型号 | 电压( | 功率(kw) | 口径(mm) | 外径(mm) | 流量m?/h | 2 | 3 | 4 | 5 | 6 | |
| 1 | B80QJD3-32/8-0.4 | 220 | 0.4 | 33 | 88 | 扬程(m) | 35 | 33 | 30 | 25 | 19 | 10 |
| 2 | B80QJD3-40/10-0.6 | 220 | 0.6 | 33 | 88 | 43 | 41 | 38 | 32 | 23 | 14 | |
| 3 | B80QJD3-48/12-0.8 | 220 | 0.8 | 33 | 88 | 52 | 49 | 46 | 36 | 27 | 16 | |
| 4 | B80QJD3-56/14-0.9 | 220 | 0.9 | 33 | 88 | 60 | 57 | 54 | 46 | 34 | 20 | |
| 5 | B80QJD3-72/18-1.1 | 220 | 1.1 | 33 | 88 | 78 | 73 | 70 | 62 | 48 | 28 | |
| 6 | B80QJD3-102/25-1.5 | 220 | 1.5 | 33 | 88 | 108 | 104 | 100 | 85 | 63 | 42 |
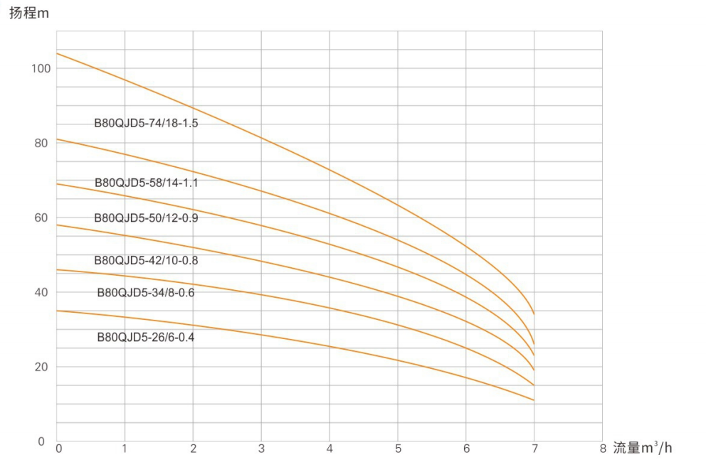
B80QJD5手艺参数
序 号 | 型号 | 电压( | 功率(kw) | 口径(mm) | 外径(mm) | 流量m?/h | o | l1 | 2 | 3 | 4 | 5 | 6 | 7 |
| 1 | B80QJD5-26/6-0.4 | 220/380 | 0.4 | 50 | 88 | 扬程(m) | 35 | 33 | 32 | 30 | 28 | 24 | 18 | 11 |
| 2 | B80QJD5-34/8-0.6 | 220/380 | 0.6 | 50 | 88 | 46 | 44 | 42 | 40 | 37 | 32 | 24 | 15 | |
| 3 | B80QJD5-42/10-0.8 | 220/380 | 0.8 | 50 | 88 | 58 | 55 | 53 | 51 | 47 | 40 | 31 | 19 | |
| 4 | B80QJD5-50/12-0.9 | 220/380 | 0.9 | 50 | 88 | 69 | 66 | 63 | 61 | 56 | 48 | 37 | 23 | |
| 5 | B80QJD5-58/14-1.1 | 220/380 | 1.1 | 50 | 88 | 81 | 77 | 74 | 71 | 65 | 56 | 43 | 26 | |
| 6 | B80QJD5-74/18-1.5 | 220/380 | 1.5 | 50 | 88 | 104 | 99 | 95 | 91 | 84 | 72 | 55 | 34 |
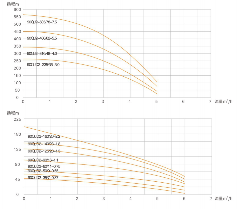
90QJD系列2T手艺参数
序 号 | 型号 | 电压( | 功率(kw) | 口径(mm) | 外径(mm) | 流量m?/h | o | 1 | 2 | 3 | 4 | 5 | 6 |
| 1 | 90QJD2-35/7-0.37 | 220 | 0.37 | 33 | 96 | 扬程(m) | 46 | 43 | 35 | 31 | 23 | 12 | 5 |
| 2 | 90QJD2-50/9-0.55 | 220 | 0.55 | 33 | 96 | 60 | 56 | 50 | 44 | 36 | 26 | 13 | |
| 3 | 90QJD2-60/11-0.75 | 220/380 | 0.75 | 33 | 96 | 72 | 68 | 60 | 58 | 48 | 37 | 22 | |
| 4 | 90QJD2-90/16-1.1 | 220/380 | 1.1 | 33 | 96 | 104 | 99 | 90 | 84 | 70 | 54 | 31 | |
| 5 | 90QJD2-125/20-1.5 | 220/380 | 1.5 | 33 | 96 | 135 | 130 | 125 | 108 | 90 | 67 | 39 | |
| 6 | 90QJD2-140/23-1.8 | 220/380 | 1.8 | 33 | 96 | 150 | 143 | 140 | 121 | 101 | 77 | 45 | |
| 7 | 90QJD2-160/26-2.2 | 220/380 | 2.2 | 33 | 96 | 200 | 181 | 160 | 138 | 112 | 85 | 51 | |
| 8 | 90QJD2-235/36-3.0 | 220/380 | 3 | 33 | 96 | 260 | 258 | 235 | 195 | 128 | 31 | ||
| 9 | 90QJD2-310/48-4.0 | 380 | 4 | 33 | 96 | 345 | 342 | 310 | 250 | 165 | 43 | ||
| 10 | 90QJD2-400/62-5.5 | 380 | 5.5 | 33 | 96 | 450 | 445 | 400 | 333 | 223 | 75 | ||
| 11 | 90QJD2-505/78-7.5 | 380 | 7.5 | 33 | 96 | 560 | 535 | 505 | 416 | 282 | 107 |
90QJD系列4T手艺参数
序 号 | 型号 | 电压N | 功率(kw) | 口径(mm) | 外径(mm) | 流量m?/h | o | 1 | 2 | 3 | 4 | 5 | 6 | 7 | 8 | 9 |
| 1 | 90QJD4-25/5-0.37 | 220 | 0.37 | 50 | 96 | 扬程(m) | 30 | 29 | 27 | 26 | 25 | 20 | 17 | 14 | 10 | 5 |
| 2 | 90QJD4-35/7-0.55 | 220 | 0.55 | 50 | 96 | 42 | 40 | 38 | 36 | 35 | 29 | 24 | 20 | 14 | 7 | |
| 3 | 90QJD4-45/9-0.75 | 220/380 | 0.75 | 50 | 96 | 54 | 51 | 49 | 46 | 45 | 37 | 31 | 25 | 18 | 9 | |
| 4 | 90QJD4-58/12-1.1 | 220/380 | 1.1 | 50 | 96 | 71 | 68 | 65 | 61 | 58 | 49 | 42 | 34 | 23 | 12 | |
| 5 | 90QJD4-7/16-1.5 | 220/380 | 1.5 | 50 | 96 | 95 | 91 | 86 | 82 | 77 | 65 | 55 | 45 | 31 | 16 | |
| 6 | 90QJD4-85/18-1.8 | 220/380 | 1.8 | 50 | 96 | 107 | 103 | 97 | 92 | 85 | 73 | 62 | 50 | 35 | 18 | |
| 7 | 90QJD4-100/20-2.2 | 220/380 | 2.2 | 50 | 96 | 119 | 117 | 113 | 108 | 100 | 82 | 74 | 56 | 39 | 20 | |
| 8 | 90QJD4-140/20-3.0 | 220/380 | 3 | 50 | 96 | 165 | 158 | 150 | 145 | 140 | 129 | 115 | 95 | 76 | 44 | |
| 9 | 90QJD4-180/35-4.0 | 380 | 4 | 50 | 96 | 215 | 207 | 199 | 189 | 180 | 169 | 150 | 121 | 92 | 52 | |
| 10 | 90QJD4-230/44-5.5 | 380 | 5.5 | 50 | 96 | 275 | 263 | 251 | 240 | 230 | 213 | 190 | 156 | 123 | 75 | |
| 11 | 90QJD4-280/54-7.5 | 380 | 7.5 | 50 | 96 | 335 | 323 | 311 | 295 | 280 | 265 | 237 | 193 | 150 | 88 |
90QJD系列6T手艺参数
序 号 | 型号 | 电压( | 功率(kw) | 口径(mm) | 外径(mm) | 流量m?/h | 0 | 2 | 3 | 4 | 5 | 6 | 7 | 8 | 9 | 10 | 11 | 12 |
| 1 | 90QJD6-30/6-0.75 | 220/380 | 0.75 | 50 | 96 | 扬程(m) | 37 | 36 | 35 | 34 | 32 | 30 | 29 | 26 | 23 | 19 | 15 | 10 |
| 2 | 90QJD6-40/8-1.1 | 220/380 | 1.1 | 50 | 96 | 50 | 48 | 47 | 45 | 42 | 40 | 38 | 34 | 30 | 25 | 20 | 14 | |
| 3 | 90QJD6-50/10-1.5 | 220/380 | 1.5 | 50 | 96 | 62 | 60 | 59 | 57 | 53 | 50 | 48 | 43 | 38 | 32 | 25 | 17 | |
| 4 | 90QJD6-56/11-1.8 | 220/380 | 1.8 | 50 | 96 | 68 | 66 | 65 | 62 | 59 | 56 | 52 | 47 | 42 | 35 | 28 | 19 | |
| 5 | 90QJD6-70/13-2.2 | 220/380 | 2.2 | 50 | 96 | 81 | 78 | 76 | 73 | 69 | 70 | 62 | 56 | 49 | 41 | 33 | 22 | |
| 6 | 90QJD6-90/17-3.0 | 220/380 | 3 | 50 | 96 | 105 | 100 | 96 | 93 | 91 | 90 | 82 | 74 | 65 | 57 | 42 | 28 | |
| 7 | 90OJD6-115/22-4.0 | 380 | 4 | 50 | 96 | 135 | 131 | 127 | 124 | 120 | 115 | 110 | 105 | 96 | 86 | 70 | 55 | |
| 8 | 90QJD6-155/29-5.5 | 380 | 5.5 | 50 | 96 | 175 | 173 | 168 | 163 | 159 | 155 | 147 | 139 | 126 | 113 | 92 | 72 | |
| 9 | 90QJD6-190/36-7.5 | 380 | 7.5 | 50 | 96 | 220 | 213 | 205 | 198 | 194 | 190 | 180 | 170 | 153 | 136 | 1i1 | 87 |
90QJD系列10T手艺参数
序 号 | 型号 | 电压《》 | 功率(kw) | 口径(mm) | 外径(mm) | 流量m?/h | 0 | 8 | 10 | 12 | 14 | 15.5 |
| 1 | 90QJD10-24/5-1.1 | 220/380 | 1.1 | 67 | 96 | 扬程(m) | 32 | 27 | 24 | 21 | 18 | 16 |
| 2 | 90QJD10-32/7-1.5 | 220/380 | 1.5 | 67 | 96 | 42 | 35 | 32 | 28 | 23 | 18 | |
| 3 | 90QJD10-37/8-1.8 | 220/380 | 1.8 | 67 | 96 | 47 | 40 | 37 | 32 | 26 | 21 | |
| 4 | 90QJD10-42/10-2.2 | 220/380 | 2.2 | 67 | 96 | 52 | 47 | 42 | 37 | 30 | 27 | |
| 5 | 90QJ10-52/13-3.0 | 220/380 | 30 | 67 | 96 | 67 | 58 | 52 | 48 | 42 | 35 | |
| 6 | 90QJ10-72/17-4.0 | 380 | 4 | 67 | 96 | 92 | 77 | 72 | 66 | 58 | 48 | |
| 7 | 90QJ10-92/23-5.5 | 380 | 5.5 | 67 | 96 | 122 | 100 | 92 | 84 | 74 | 64 | |
| 8 | 90QJ10-122/30-7.5 | 380 | 7.5 | 67 | 96 | 162 | 132 | 122 | 112 | 97 | 87 |
90QJD系列15T手艺参数
序 号 | 型号 | 电压 | 功率(kw) | 口径(mm) | 外径(mm) | 流量m?/h | o | 8 | 10 | 12 | 15 | 16 | 18 | 20 | 22 |
| 1 | 90QJD15-21/6-1.5 | 220/380 | 1.5 | 67 | 96 | 扬程(m) | 36 | 30 | 26 | 25 | 22 | 20 | 17 | 15 | 11 |
| 2 | 90QJD15-25/7-1.8 | 220/380 | 1.8 | 67 | 96 | 42 | 34 | 30 | 29 | 26 | 23 | 20 | 17 | 13 | |
| 3 | 90QJD15-32/9-2.2 | 220/380 | 2.2 | 67 | 96 | 54 | 44 | 39 | 37 | 33 | 30 | 26 | 22 | 17 | |
| 4 | 90QJ15-44/12-3.0 | 220/380 | 3 | 67 | 96 | 72 | 59 | 52 | 49 | 44 | 40 | 34 | 29 | 22 | |
| 5 | 90QJ15-57/16-4.0 | 380 | 4 | 67 | 96 | 92 | 77 | 70 | 67 | 57 | 54 | 46 | 39 | 32 | |
| 6 | 90QJ15-77/21-5.5 | 380 | 5.5 | 67 | 96 | 122 | 102 | 94 | 87 | 77 | 70 | 62 | 52 | 42 | |
| 7 | 90QJ15-97/27-7.5 | 380 | 7.5 | 67 | 96 | 152 | 132 | 122 | 112 | 97 | 92 | 77 | 67 | 54 |
125QJ系列8T手艺参数
序 号 | 型号 | 电压 | 功率(kw) | 口径(mm) | 外径(mm) | 流量m?/h | o | 2 | 4 | 6 | 8 | 10 | 12 | 14 | 16 |
| 1 | 125QJ8-62/7-1.5S | 380 | 1.5 | 58 | 132 | 扬程(m) | 72 | 68 | 66 | 64 | 62 | 52 | 34 | 22 | 8 |
| 2 | 125QJ8-82/9-2.2S | 380 | 2.2 | 58 | 132 | 92 | 89 | 87 | 85 | 82 | 65 | 42 | 27 | 10 | |
| 3 | 125QJ8-102/12-3.0S | 380 | 3 | 58 | 132 | 127 | 122 | 112 | 107 | 102 | 87 | 63 | 45 | 12 | |
| 4 | 125QJ8-122/15-4.0S | 380 | 4 | 58 | 132 | 152 | 144 | 134 | 129 | 122 | 102 | 70 | 50 | 14 | |
| 5 | 125QJ8-162/20-5.5S | 380 | 55 | 58 | 132 | 202 | 192 | 182 | 172 | 162 | 132 | 92 | 58 | 17 | |
| 6 | 125QJ8-222/28-7.5S | 380 | 7.5 | 58 | 132 | 272 | 262 | 252 | 242 | 222 | 187 | 140 | 97 | 52 | |
| 7 | 125QJ8-252/34-9.2S | 380 | 9.2 | 58 | 132 | 322 | 299 | 287 | 270 | 252 | 202 | 173 | 122 | 66 | |
| 8 | 125QJ8-302/40-11S | 380 | 11 | 58 | 132 | 372 | 350 | 333 | 314 | 302 | 251 | 202 | 145 | 80 | |
| 9 | 125QJ8-352/48-13S | 380 | 13 | 58 | 132 | 452 | 416 | 398 | 375 | 352 | 300 | 240 | 172 | 92 | |
| 10 | 125QJ8-402/54-15S | 380 | 15 | 58 | 132 | 502 | 470 | 448 | 422 | 402 | 338 | 272 | 192 | 102 |
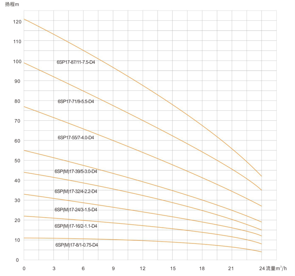
6SP系列手艺参数
序 号 | 型号 | 电压( | 功率(kw) | 口径(mm) | 外径(mm) | 流量m/h | o | 3 | 6 | 9 | 12 | 15 | 17 | 18 | 21 | 24 |
| 1 | 6SP(M)17-8/1-0.75-D4 | 220/380 | 0.75 | 100 | 144 | 扬程(m) | 11 | 11 | 11 | 10 | 10 | 9 | 8 | 7 | 6 | 4 |
| 2 | 6SP(M)17-16/2-1.1-D4 | 220/380 | 1.1 | 100 | 144 | 22 | 22 | 22 | 21 | 19 | 17 | 16 | 15 | 12 | 8 | |
| 3 | 6SP(M)17-24/3-1.5-D4 | 220/380 | 1.5 | 100 | 144 | 33 | 33 | 32 | 31 | 29 | 26 | 24 | 22 | 17 | 12 | |
| 4 | 6SP(M)17-32/4-2.2-D4 | 220/380 | 2.2 | 100 | 144 | 44 | 44 | 43 | 42 | 39 | 35 | 32 | 30 | 23 | 15 | |
| 5 | 6SP(M)17-39/5-3.0-D4 | 220/380 | 3 | 100 | 144 | 55 | 55 | 54 | 52 | 49 | 44 | 39 | 37 | 29 | 19 | |
| 6 | 6SP17-55/7-4.0-D4 | 380 | 4 | 100 | 144 | 77 | 75 | 73 | 68 | 61 | 55 | 52 | 40 | 27 | ||
| 7 | 6SP17-71/9-5.5-D4 | 380 | 5.5 | 100 | 144 | 99 | 99 | 97 | 94 | 88 | 79 | 71 | 67 | 52 | 35 | |
| 8 | 6SP17-87/11-7.5-D4 | 380 | 7.5 | 100 | 144 | 121 | 121 | 1i9 | 115 | 107 | 96 | 87 | 82 | 63 | 42 |
150QJD系列5T手艺参数
序 号 | 型号 | 电压《 | 功率(kw) | 口径(mm) | 外径(mm) | 流量m?/h | 0 | 2 | 4 | 5 | 6 | 8 | 10 | 11 | 12 |
| 1 | D150QJD5-22/2-0.55 | 220 | 0.55 | 50 | 135 | 扬程(m) | 27 | 26 | 23 | 22 | 20 | 16 | 12 | 9 | 6 |
| 2 | D150QJD5-32/3-0.75 | 220 | 0.75 | 50 | 135 | 42 | 38 | 35 | 32 | 31 | 24 | 16 | 12 | 7 | |
| 3 | D150QJD5-44/4-1.1 | 220/380 | 1.1 | 50 | 135 | 52 | 51 | 47 | 44 | 41 | 33 | 23 | 18 | 11 | |
| 4 | D150QJD5-57/5-1.5 | 220/380 | 1.5 | 50 | 135 | 67 | 65 | 60 | 57 | 53 | 43 | 30 | 24 | 16 | |
| 5 | D150QJD5-77/7-2.2 | 220/380 | 2.2 | 50 | 135 | 92 | 88 | 81 | 77 | 70 | 57 | 39 | 29 | 18 |
150QJD系列8T手艺参数
序 号 | 型号 | 电压() | 功率(kw) | 口径(mm) | 外径(mm) | 流量m?/h | o | 2 | 4 | 6 | 8 | 10 | 12 | 14 | 15 | 16 |
| 1 | D150QJD8-22/2-0.75 | 220 | 0.55 | 67 | 135 | 扬程(m) | 27 | 26 | 25 | 24 | 22 | 19 | 16 | 12 | 11 | 8 |
| 2 | D150QJD8-32/3-1.1 | 220/380 | 1.1 | 67 | 135 | 39 | 38 | 37 | 35 | 32 | 27 | 22 | 17 | 15 | 11 | |
| 3 | D150QJD8-42/4-1.5 | 220/380 | 1.5 | 67 | 135 | 52 | 51 | 46 | 43 | 42 | 34 | 28 | 21 | 17 | 13 | |
| 4 | D150QJD8-52/5-2.2 | 220/380 | 2.2 | 67 | 135 | 67 | 65 | 61 | 58 | 52 | 44 | 36 | 28 | 23 | 18 |
150QJD系列15T手艺参数
序 号 | 型号 | 电压( | 功率(kw) | 口径(mm) | 外径(mm) | 流量m/h | o | 6 | 8 | 10 | 12 | 15 | 18 | 20 | 22 | 24 | 26 | 28 |
| 1 | DH150QJ15-26/3-1.5 | 220/380 | 1.1 | 100 | 135 | 扬程(m) | 24 | 22 | 21 | 20 | 19 | 18 | 15 | 14 | 12 | 10 | 9 | 7 |
| 2 | DH150QJ15-34/4-2.2 | 220/380 | 1.5 | 100 | 135 | 34 | 30 | 29 | 28 | 27 | 26 | 21 | 19 | 17 | 14 | 12 | 8 | |
| 3 | DH150QJ15-42/5-3 | 220/380 | 2.2 | 100 | 135 | 44 | 39 | 38 | 36 | 35 | 32 | 26 | 23 | 20 | 17 | 13 | 10 | |
| 4 | DH150QJ15-57/7-4 | 220/380 | 3 | 100 | 135 | 54 | 48 | 46 | 44 | 42 | 40 | 34 | 30 | 25 | 20 | 17 | 12 |
B80QJD2 性能曲线

B80QJD3 性能曲线、

B80QJD5 性能曲线

90QJD系列2T性能曲线

90QJD系列4T性能曲线

90QJD系列6T性能曲线

90QJD系列10T性能曲线

90QJD系列15T性能曲线

125QJ系列8T性能曲线

6sp系列性能曲线

150QJD系列5T性能曲线

150QJD系列8T性能曲线

150QJD系列15T性能曲线
